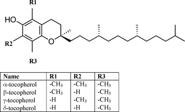
Description – Natural mixed tocopherols (forms of vitamin E), consisting of d-alpha (a), d-beta (ß), d-gamma (¿), and d-delta (d) tocopherol, can help maintain the freshness and shelf life of products. They are a natural alternative to synthetic antioxidants, such as BHT, BHA and TBHQ. Natural mixed tocopherol is a free form tocopherol with benefits of Vitamin E. It is twice more efficient than synthetic versions of Vitamin E.
Application – Natural mixed tocopherols have applications in the antioxidant, human nutrition, animal & pet care, cosmetics, personal care and pharmaceutical industries. Dietary supplements containing natural mixed tocopherols are used to treat deficiency of Vitamin E in the body.