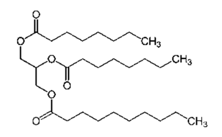
Function – Carrier oil which acts as an emollient and moisturizing agent. It also acts as a viscosity regulator and assists in the dispersion of pigments and other additives. Further, it penetrates the skin readily, thus acting as a carrier for transdermal therapeutic ingredients. It produces a barrier on the skin but avoids pore clogging.