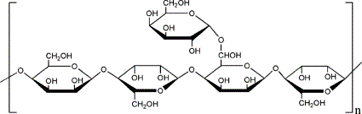
Description – Locust bean gum is a galactomannan vegetable gum that is extracted from the seeds of the carob tree. It consists chiefly of high-molecular-weight hydrocolloidal polysaccharides, composed of galactose and mannose units combined through glycosidic linkages.
Application – Locust bean gum is widely utilized as an additive in various industries such as paper, food, textiles, pharmaceuticals, cosmetics and oil well drilling. Owing to its functial properties of a dietary fibre, it is used in the control of many health problems like bowel movements, colon cancer, heart disease and diabetes. It helps to reduce reflux in infants when added to formula.