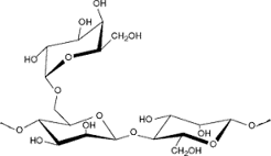
Description – Guar gum, also called guaran, is a galactomannan polysaccharide extracted from guar beans that has thickening and stabilizing properties useful in food, feed, and industrial applications.
Application – In food industry, guar gum is used as a thickener, stabilisier, firming agent and emulsifier for multiple products like baked goods, gluten-free products, ice-creams, etc. Guar gum is used for constipation, diarrhea, diabetes, irritable bowel syndrome (IBS), high cholesterol, and high blood pressure.